Öltemperatur über Peilstab oder Ablassschraube messen?
Re: Öltemperatur über Peilstab oder Ablassschraube messen?
Servus,
ich habe bei meinem T2a die Version über die Ablassschraube installiert. Aktuell kommt die Temperaturanzeige jedoch nicht über 50 Grad. Gut, ich bin bis jetzt auf Grund von Neuaufbau des Motors (AS auf 1775) noch nicht Vollgas auf der AB gefahren. Aber ne halbe Stunde über die schwäbische Alb hatte ich schon. Kann man beim Verbinden der Schraube mit dem VDO einen Fehler machen? Oder ist es normal, dass die Temperatur so zaghaft ansteigt?
P.S.: Der Geber scheint zumindest anzuspringen da nach der Fahrt beim Abstellen der Zeiger auch wieder runter geht - sich also (wenn auch nur wenig) bewegt.
Viele Grüße,
Andreas
ich habe bei meinem T2a die Version über die Ablassschraube installiert. Aktuell kommt die Temperaturanzeige jedoch nicht über 50 Grad. Gut, ich bin bis jetzt auf Grund von Neuaufbau des Motors (AS auf 1775) noch nicht Vollgas auf der AB gefahren. Aber ne halbe Stunde über die schwäbische Alb hatte ich schon. Kann man beim Verbinden der Schraube mit dem VDO einen Fehler machen? Oder ist es normal, dass die Temperatur so zaghaft ansteigt?
P.S.: Der Geber scheint zumindest anzuspringen da nach der Fahrt beim Abstellen der Zeiger auch wieder runter geht - sich also (wenn auch nur wenig) bewegt.
Viele Grüße,
Andreas
VW Bus T2a Westfalia Bj 1969 - Porsche Diesel T217 Bj 1960 - Vespa Rally 200 Bj 1977
Bus: viewtopic.php?f=16&t=30300

Bus: viewtopic.php?f=16&t=30300

- aircooled68
- Wohnt im T2!
- Beiträge: 2579
- Registriert: 13.04.2009 21:22
- IG T2 Mitgliedsnummer: 0
Re: Öltemperatur über Peilstab oder Ablassschraube messen?
Hi,
schonmal mit einem Infrarot Thermometer nachgemessen? Richtiger Geber und Instrument verbaut? Stecker richtig gecrimpt? Wenn da zu hohe Übergangswiderstände sind (auch zu Masse) kann das zu einem solchem Problem führen.
Gruß Jan
schonmal mit einem Infrarot Thermometer nachgemessen? Richtiger Geber und Instrument verbaut? Stecker richtig gecrimpt? Wenn da zu hohe Übergangswiderstände sind (auch zu Masse) kann das zu einem solchem Problem führen.
Gruß Jan
- woita
- T2-Süchtiger
- Beiträge: 987
- Registriert: 18.12.2015 22:01
- IG T2 Mitgliedsnummer: 827
- Kontaktdaten:
Re: Öltemperatur über Peilstab oder Ablassschraube messen?
Servus Andreas,
und du hast nicht zufällig für den stärkeren Motor einen Zusatzölsumpf verbaut und misst jetzt da unten?
Oder sonst die Ölkühlung verändert?
Gruß woita
und du hast nicht zufällig für den stärkeren Motor einen Zusatzölsumpf verbaut und misst jetzt da unten?
Oder sonst die Ölkühlung verändert?
Gruß woita
- Frank_Hopfner
- T2-Süchtiger
- Beiträge: 798
- Registriert: 20.11.2012 19:59
- Kontaktdaten:
Re: Öltemperatur über Peilstab oder Ablassschraube messen?
Hallo Andreas
Wenn sich die Anzeige bewegt, hast du schonmal nicht so viel falsch gemacht. Ziehst du den Stecker vom Geber KURZ ab, musst du Vollausschlag auf der Anzeige haben.
Eine schlechte Masseverbindung würde sich so auch zeigen und somit ehr zu viel anzeigen.
Fehlersuche:
- Passt Anzeige und Geber zusammen (beides VDO?)
- Messbereich Anzeige -->150Grad
- Messbereich Geber -->150Grad (eingraviert)
- Spannung am Instrument kontrollieren. Die Anzeige ist stark Versorgungsspannungsabhängig. Im Leerlauf unter 13V zeigt meine nichts anständiges an.
- Widerstandwert Messen und auf Plausibilität Prüfen (Infrarot-Thermometer)
- ggf. selbstklebende Temperaturmessstreifen einsetzen. Diese Dinger gibts im Internet zu kaufen
- Geber (mit Masseverbindung) im Wasserbad kochen. Geht die Anzeige auf ~100Grad?
Bei mir ist der Motor 1678ccm Typ-1 auch sehr kühl, aber ich habe auch einen /8 Kühler mit Thermostat und Filter unter der Vorderachse. Hier geht schon sehr viel Wärme verloren bis es überhaupt zum Kühler geht. Dementsprechend länger dauert der Warmlauf.
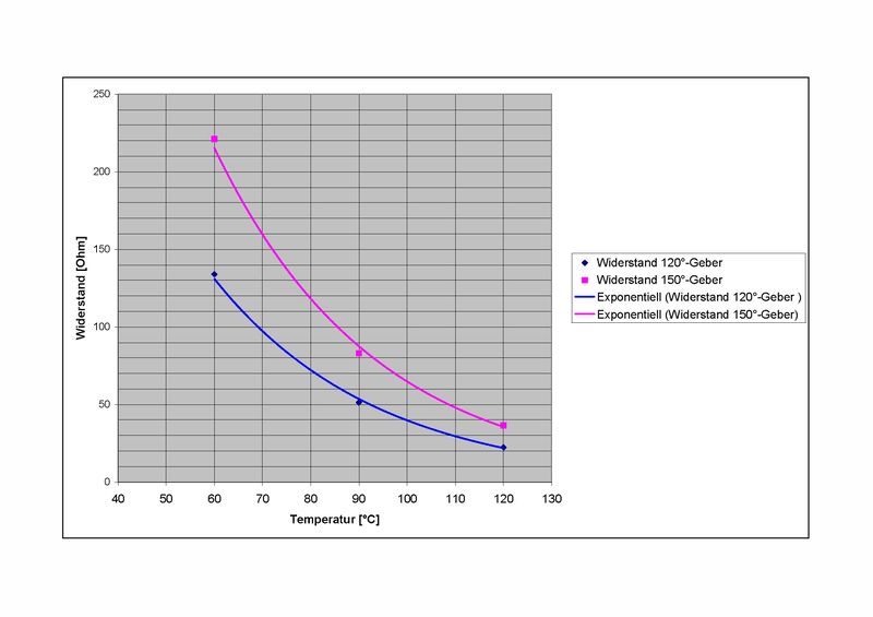
Schau mal wie heiß dein Motor wirklich wird. Ich habe einen Wiederstand paralell geschalten um meine Anzeige bei 120*C (Bei Boardspannung 14V) zu eichen. Das verfälscht aber das Anzeige-Ergebnis darunter und darüber. Ich will aber ja nur exakt wissen wann ich meine Limit-Temperatur genau erreicht habe um dann meine Fahrweise anzupassen. Am Ende ist die Öltemperatur nur ein Indiz und grade bei modifizierten Motoren eine persönliche Erfahrung.
Hier die Excel um mit der Kompensation rumzuspielen:
http://nikolaischwechten.dnshome.de:500 ... /eTGYE9YJw
Gruß, Niko
Wenn sich die Anzeige bewegt, hast du schonmal nicht so viel falsch gemacht. Ziehst du den Stecker vom Geber KURZ ab, musst du Vollausschlag auf der Anzeige haben.
Eine schlechte Masseverbindung würde sich so auch zeigen und somit ehr zu viel anzeigen.
Fehlersuche:
- Passt Anzeige und Geber zusammen (beides VDO?)
- Messbereich Anzeige -->150Grad
- Messbereich Geber -->150Grad (eingraviert)
- Spannung am Instrument kontrollieren. Die Anzeige ist stark Versorgungsspannungsabhängig. Im Leerlauf unter 13V zeigt meine nichts anständiges an.
- Widerstandwert Messen und auf Plausibilität Prüfen (Infrarot-Thermometer)
- ggf. selbstklebende Temperaturmessstreifen einsetzen. Diese Dinger gibts im Internet zu kaufen
- Geber (mit Masseverbindung) im Wasserbad kochen. Geht die Anzeige auf ~100Grad?
Bei mir ist der Motor 1678ccm Typ-1 auch sehr kühl, aber ich habe auch einen /8 Kühler mit Thermostat und Filter unter der Vorderachse. Hier geht schon sehr viel Wärme verloren bis es überhaupt zum Kühler geht. Dementsprechend länger dauert der Warmlauf.
Schau mal wie heiß dein Motor wirklich wird. Ich habe einen Wiederstand paralell geschalten um meine Anzeige bei 120*C (Bei Boardspannung 14V) zu eichen. Das verfälscht aber das Anzeige-Ergebnis darunter und darüber. Ich will aber ja nur exakt wissen wann ich meine Limit-Temperatur genau erreicht habe um dann meine Fahrweise anzupassen. Am Ende ist die Öltemperatur nur ein Indiz und grade bei modifizierten Motoren eine persönliche Erfahrung.
Hier die Excel um mit der Kompensation rumzuspielen:
http://nikolaischwechten.dnshome.de:500 ... /eTGYE9YJw
Gruß, Niko
Re: Öltemperatur über Peilstab oder Ablassschraube messen?
Hey jungs, vielen Dank für Eure zahlreichen Tipps!! Ich werde es mal Schritt für Schritt testen. Ich habe mir auch einfach mal eine Thermometerpistole bestellt und messe mal auf Plausi nach.
Zum aktuellen Motorstand: momentan habe ich keine zusätzliche Kühlung verbaut. Ich denke der vergrößerte Sumpf alleine wird nicht ausreichen oder? Tendenziell plane ich eine EasyFlow Pumpe mit Unterflurkühler.
Ich halte Euch im loop
Zum aktuellen Motorstand: momentan habe ich keine zusätzliche Kühlung verbaut. Ich denke der vergrößerte Sumpf alleine wird nicht ausreichen oder? Tendenziell plane ich eine EasyFlow Pumpe mit Unterflurkühler.
Ich halte Euch im loop
VW Bus T2a Westfalia Bj 1969 - Porsche Diesel T217 Bj 1960 - Vespa Rally 200 Bj 1977
Bus: viewtopic.php?f=16&t=30300

Bus: viewtopic.php?f=16&t=30300

- aircooled68
- Wohnt im T2!
- Beiträge: 2579
- Registriert: 13.04.2009 21:22
- IG T2 Mitgliedsnummer: 0
Re: Öltemperatur über Peilstab oder Ablassschraube messen?
Hi Niko,Wenn sich die Anzeige bewegt, hast du schonmal nicht so viel falsch gemacht. Ziehst du den Stecker vom Geber KURZ ab, musst du Vollausschlag auf der Anzeige haben.
Eine schlechte Masseverbindung würde sich so auch zeigen und somit ehr zu viel anzeigen.
beim Öldruck würde ich dir recht geben, aber bei der Temperatur nicht. Auch nach deinen Kennlinen ist ein abgezogenes Kabel (sehr hoher Widerstand) eine sehr niedrige Temperatur. Zum Vollausschlag musst das Kabel auf Masse geben. Eine schlechte Masseverbindung erhöht den Widerstand und damit wird zuwenig Temperatur angezeigt.
Gruß Jan
Re: Öltemperatur über Peilstab oder Ablassschraube messen?
Nur noch mal zur Sicherheit: es geht um eine gute Masseverbindung der Ölablassschraube (Sensor) oder? Wenn ich diese doch ins Gehäuse eindrehe sollte ich doch eine "perfekte" Masse haben oder?
VW Bus T2a Westfalia Bj 1969 - Porsche Diesel T217 Bj 1960 - Vespa Rally 200 Bj 1977
Bus: viewtopic.php?f=16&t=30300

Bus: viewtopic.php?f=16&t=30300

Re: Öltemperatur über Peilstab oder Ablassschraube messen?
Perfekt ist dann, wenn vor eindrehen des Sensors das Gewinde beidseitig (Sensor und Gehäuse) fett- und ölfrei sind. Ich nehme da sauberes Tuch und mit Bremsenreiniger gut reinigen.
Öl/Fett sind Masserbindungskiller, erst recht irgendwelche Dichtmittel.
VW T2a (schweizer Ex-PTT-Bus), Typ 21-515, RHD, Hochdach, MJ 68, 1. IV 69
Re: Öltemperatur über Peilstab oder Ablassschraube messen?
Alles klar, danke!!
VW Bus T2a Westfalia Bj 1969 - Porsche Diesel T217 Bj 1960 - Vespa Rally 200 Bj 1977
Bus: viewtopic.php?f=16&t=30300

Bus: viewtopic.php?f=16&t=30300

- woita
- T2-Süchtiger
- Beiträge: 987
- Registriert: 18.12.2015 22:01
- IG T2 Mitgliedsnummer: 827
- Kontaktdaten:
Re: Öltemperatur über Peilstab oder Ablassschraube messen?
Zum Testen kannst du einfach ein Kabel abisolieren und die Drähtchen beim Anziehen des Sensors mit einquetschen, andere Seite sauber auf Masse legen und wenn das keinen Unterschied macht, hast du die Masseverbindung als Fehler ausgeschlossen.
Gruß woita
Gruß woita


